borang jpif 11
Permohonan Permit Laluan Lori Angkut Bahan Konkrit More. Older Posts Older Posts.
Permohonan Specimen Bank Doc Download As Word Doc Doc Pdf File Pdf Text File Txt Or Read Online Microsoft Office Word Office Word Word Doc
Typing drawing or capturing one.
. Jadual AP11 2020 Bagi Jabatan Pendidikan Politeknik Dan Kolej Komuniti JPPKK pdf 120 MB 2049 muat turun Popular. Tajuk Borang Nama Borang. Ahli Lembaga Penasihat Bandaraya.
Pengesahan Lantikan Perunding KejuruteraanMSMA 3. Tandatangan Pemilik Jurutera Perunding pada setiap Helaian pelan Tanda Pengesahan Wakil Jurutera Perunding dan Pemilik Pemaju hendaklah ditandatangani pada setiap Helaian. Indicate the date to the record using the Date option.
Borang JPIF 12. 22 PERAKUAN PENAMA. Close suggestions Search Search.
BORANG JPIF 1 dahulunya BORANG JKA 1 DEWAN BANDARAYA KUALA LUMPUR JABATAN PERANCANGAN INFRASTRUKTUR Pengarah Jabatan Perancangan Infrastruktur Sayakami dengan ini mengemukakan cadangan bagi kerja-kerja untuk projek seperti berikut PERMOHONAN PELAN KERJA TANAH DI TAPAK BINAAN BAGI CADANGAN. Pengemukaan Pelan dari Perunding dan Pengesahan PemilikPemaju Borang JPIF 12. 01112019 Muka Surat.
As part of the Governments Economic Stimulus Plan 2020 the statutory contribution rate for EPF has been lowered from 11 to 7The EPF stated last week that all members can still maintain their contribution rate at 11 but will need to submit a special form to do so. Kiraan Yuran Kerja Tanah Borang JPIF 7 1 files 381 downloads. Pengesahan Anak Belajar di Institusi Pengajian Tinggi.
Permohonan Pelan Pelan Kejuruteraan Borang JPIF 1. JPPBORANG11 Tarikh Kuatkuasa. Maklumat Akaun Bank Pemohon JPABPSPTB06 Pin 2007.
Sekiranya pemohon ingin membuat penukaran maklumat penama pemohon perlu mengisi semula Borang Penama JPPBORANG11 di Pejabat TEKUN cawangan. Jalan Dan Parit SPPCCC Sijil Penyiapan Dan Pematuhan Borang JPIF 11 1 files 755 downloads. M bonus asia Ohm Om Yoga Meditation Dome Necklace Bonus Boutique Jewelry Om Charm Womens J.
There are 3 available options. Wp 1 4 Kadar Kadar Dan Syarat Syarat Tuntutan Elaun Kemudahan Dan Bayaran Kepada Pegawai Mara Kerana Menjalankan Tugas Rasmi Kecuali Berkursus Flip Ebook Pages 1 27 Anyflip Anyflip - Antara borang yang disertakan link download. 2021 P BorangLEMBAGA HASIL DALAM NEGERI MALAYSIA BORANG NYATA.
Complete Jpif Dbkl online with US Legal Forms. Borang JPIF 11. Textbook Solutions Expert Tutors Earn.
Contextual translation of borang as 11 a pembawa yang ditetapkan into English. Save or instantly send your ready documents. Borang Permohonan Pemberian Awal Award Wang Tunai GCR.
23 Jan 2020. Permohonan Faedah Terbitan Bagi Kematian Dalam Perkhidmatan AwamBBKT JPABPSPTB01a. Borang Permohonan Pengisytiharan Kenderaan Tidak Digunakan JPJ K11pdf.
2 BORANG PENAMA No. BORANG JPIF 7 dahulunya BORANG KT1 DEWAN BANDARAYA KUALA LUMPUR JABATAN PERANCANGAN. Borang jpif 13 jalan parit I Love Sarawak - Surat mohon pasang lampu serambi rumah sempena Contoh Surat Rasmi Memohon Lampu Jalan Prosedur Perijinan Pemasangan Penerangan Jalan Umum Semarang Kota Surat Mohon Lampu Jalan PDF Contoh Surat Rasmi Memohon Lampu Jalan image4552 alwan irsandi Flickr.
Fill in every fillable area. GARIS PANDUAN KERJA TANAH 2014 GARIS PANDUAN KERJA TANAH 10 TUJUAN 11 Garis Panduan Kerja Tanah 2014 ini disediakan bertujuan untuk menyeragamkan kehendak- kehendak DBKL di dalam memproses Permohonan Kelulusan Pelan Kerja Tanah. Muka Surat 12 BORANG JPIF 3 DEWAN.
Borang Perakuan Perlantikan Kontraktor Pemungutan Sisa Pepejal Pembinaan KPSB Berlesen PPSPPA Permohonan Kelulusan Pelan Kejuruteraan. Pengesahan Anak Belajar di Institusi Pengajian Tinggi IPT JPABPSPTB03a. Kegagalan pihak tuan mengisikan borang ini dengan butir-butir lengkap dan tepat akan melambatkan proses kelulusan pelan yang dikemukakan oleh pihak tuan.
A short summary of this paper. Application Form for Vehicle Records and Verification JPJ K16 Previous Vehicle Cancellation Application Form JPJ K1C Next. Jadual AP11 2020 Bagi Pengurusan Perolehan Bekalan Dan Perkhidmatan pdf 114 MB 3584 muat turun Popular.
Easily fill out PDF blank edit and sign them. Pengesahan Perlantikan Jurutera Perunding 2. 34 Full PDFs related to this paper.
Pastikan penandatangan bagi pihak PemilikJurutera PerundingArkitek di dalam borang ini adalah samaselaras di atas pelan-pelan. DBKL BORANG JPIF 11 GUIDELINE by rili1toma. BORANG JPIF 4 dahulunya BORANG JKA 4 DEWAN BANDARAYA KUALA LUMPUR JABATAN PERANCANGAN INFRASTRUKTUR Request for Inspection of Pengarah.
2 waktu bekerja dan kerja lebih masa waktu bekerja bukan pejabat. Maklumat Tanggungan - Kes Kematian dalam Perkhidmatan. Garis Panduan Perancangan GPP bagi Perumahan Khas Warga Emas Senior Living More.
DBKL BORANG JPIF 11 GUIDELINE. Maklumat Tanggungan - Kes Kematian dalam Perkhidmatan JPABPSPTB01e. Permohonan Faedah Terbitan Bagi Kematian Dalam Perkhidmatan AwamBBKT JPABPSPTB01a.
Perakuan Kerja Tanah Kecil Borang JPIF 2. Follow the step-by-step instructions below to eSign your borang as pat 1 12. The form known as Borang KWSP 17A Khas 2020 is now available for download on.
Permohonan Permit Laluan Lori Angkut Bahan Dengan DO 1 files 283 downloads. Mahligai Idaman Bayaran Berperingkat. Menggunakan Borang CP600B Borang Pemberitahuan Pertukaran Alamat yang boleh diperoleh di Portal Rasmi LHDNM httpswwwhasilgovmy.
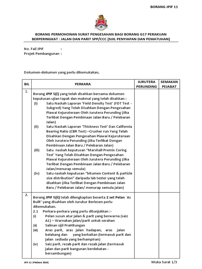
5 Untuk maklumat lanjut sila hubungi Hasil Care Line- 03-89111000 Dalam Negara 603-89111100 Luar Negara 2021 TAKSIRAN CP3 - Pin. Borang Permohonan Surat Pengesahan Bagi Borang G17 Perakuan Berperingkat. Turn on the Wizard mode on the top toolbar to get extra recommendations.
On April 1 1946 the Road Transport Department was set up to coordinate all aspects of transportation across the state. Jalan Dan Parit SPPCCC Sijil Penyiapan Dan Pematuhan Borang JPIF 11. Permohonan Permit Laluan Lori Angkut Bahan Dengan DO.
Be sure the info you add to the Borang 11 is updated and correct. Click the Sign tool and create a signature. Lampiran PP134B BORANG PERMOHONAN FAEDAH TERBITAN.
Jadual AP11 2020 Bagi Jabatan Pendidikan Tinggi JPT pdf 822 KB.
Dbkl Jpif Garis Panduan Kerja Tanah Garis Panduan Kerja Tanah 2014 Garis Panduan Kerja Tanah 1 Studocu
Borang Pb 01 Senarai Semak Bgn 2017 Pdf
P01 K1 07 19 03 15 Borang Osc 2 Lj Pdf
Borang Pb 01 Senarai Semak Bgn 2017 Pdf
2 Borang Jpif 01 Pdf Borang Jpif 1 Dahulunya Borang Jka 1 Dewan Bandaraya Kuala Lumpur Jabatan Perancangan Infrastruktur Pengarah Jabatan Course Hero







No comments for "borang jpif 11"
Post a Comment